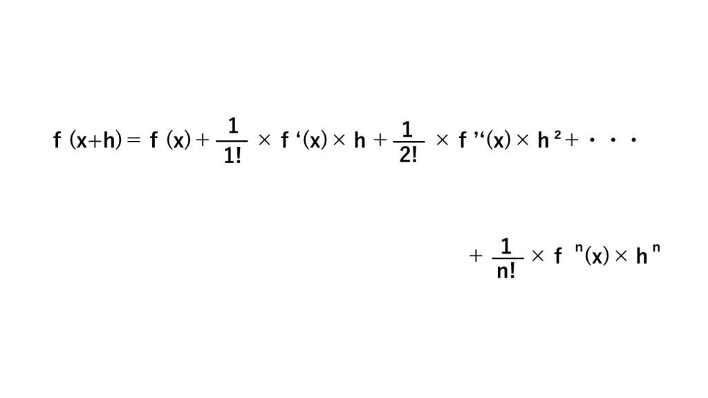
テイラー展開の公式

上の式がf(x+h)をテイラー展開する公式です。ただしf‘(x)のダッシュ「‘」は、f(x)の微分を表しています。ダッシュの数がnの時は、f(x)のn階微分です。
x=0の時を、特にマクローリン展開と呼びます。
テイラー展開は、どこまで計算すべきか
「h」に注目すると、だんだんと次数が大きくなっています。基本的にはh=0.01のように、hは小さな値です。したがってh2=0.0001、h3=0.000001と小さくなるため、十分に小さく、後の計算に必要の無い項は消してしまいましょう(近似)。


